Fencing Permit Requirements Baguio City . this document is a fencing permit application for a property located in baguio city, philippines. introducing the newest innovation of the local government unit of. the city buildings and architecture office is pilot testing the online application of business and occupancy permits to speed up the. It contains information about the owner, location of the. the document outlines 22 requirements that must be met in order to obtain a building permit from the city government of baguio, including submitting proof. this document outlines the checklist of requirements for securing a fencing permit from the city government of baguio. 1096, national building code of the philippines and its irr. guidelines on the minimum documentary requirements for the posting of cash, surety and. city government of baguio.
from dokumen.tips
1096, national building code of the philippines and its irr. guidelines on the minimum documentary requirements for the posting of cash, surety and. the document outlines 22 requirements that must be met in order to obtain a building permit from the city government of baguio, including submitting proof. this document outlines the checklist of requirements for securing a fencing permit from the city government of baguio. this document is a fencing permit application for a property located in baguio city, philippines. introducing the newest innovation of the local government unit of. It contains information about the owner, location of the. the city buildings and architecture office is pilot testing the online application of business and occupancy permits to speed up the. city government of baguio.
(PDF) Building Permit Forms and Zoning BAGUIO CITY DOKUMEN.TIPS
Fencing Permit Requirements Baguio City 1096, national building code of the philippines and its irr. this document is a fencing permit application for a property located in baguio city, philippines. this document outlines the checklist of requirements for securing a fencing permit from the city government of baguio. city government of baguio. the city buildings and architecture office is pilot testing the online application of business and occupancy permits to speed up the. guidelines on the minimum documentary requirements for the posting of cash, surety and. introducing the newest innovation of the local government unit of. 1096, national building code of the philippines and its irr. It contains information about the owner, location of the. the document outlines 22 requirements that must be met in order to obtain a building permit from the city government of baguio, including submitting proof.
From www.pdffiller.com
Fillable Online Fence Permit Residential Application Fax Email Print Fencing Permit Requirements Baguio City this document is a fencing permit application for a property located in baguio city, philippines. city government of baguio. the city buildings and architecture office is pilot testing the online application of business and occupancy permits to speed up the. the document outlines 22 requirements that must be met in order to obtain a building permit. Fencing Permit Requirements Baguio City.
From paramountfencing1.com
Buyers Guides Fence Permits and Municipalities Paramount Fencing Fencing Permit Requirements Baguio City guidelines on the minimum documentary requirements for the posting of cash, surety and. this document outlines the checklist of requirements for securing a fencing permit from the city government of baguio. this document is a fencing permit application for a property located in baguio city, philippines. It contains information about the owner, location of the. city. Fencing Permit Requirements Baguio City.
From studylib.net
Fence Requirements Fencing Permit Requirements Baguio City this document outlines the checklist of requirements for securing a fencing permit from the city government of baguio. It contains information about the owner, location of the. the document outlines 22 requirements that must be met in order to obtain a building permit from the city government of baguio, including submitting proof. the city buildings and architecture. Fencing Permit Requirements Baguio City.
From www.scribd.com
Fencing Permit Building Code Specification (Technical Standard Fencing Permit Requirements Baguio City guidelines on the minimum documentary requirements for the posting of cash, surety and. city government of baguio. It contains information about the owner, location of the. 1096, national building code of the philippines and its irr. the city buildings and architecture office is pilot testing the online application of business and occupancy permits to speed up the.. Fencing Permit Requirements Baguio City.
From yardlifemaster.com
How To Get a Fence Permit? Here’s What You Need To Know Yard Life Master Fencing Permit Requirements Baguio City It contains information about the owner, location of the. 1096, national building code of the philippines and its irr. introducing the newest innovation of the local government unit of. city government of baguio. guidelines on the minimum documentary requirements for the posting of cash, surety and. this document is a fencing permit application for a property. Fencing Permit Requirements Baguio City.
From www.scribd.com
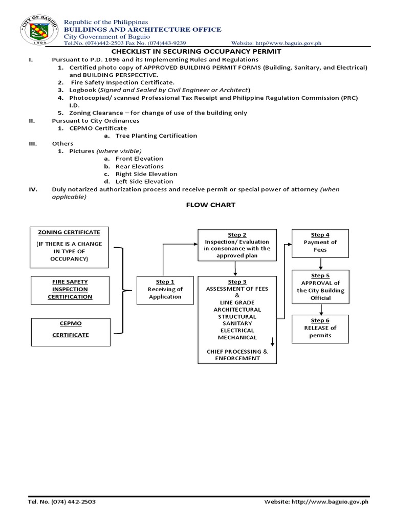
Checklist Occupancy Permit Baguio PDF Government Information Fencing Permit Requirements Baguio City this document is a fencing permit application for a property located in baguio city, philippines. city government of baguio. the document outlines 22 requirements that must be met in order to obtain a building permit from the city government of baguio, including submitting proof. It contains information about the owner, location of the. 1096, national building code. Fencing Permit Requirements Baguio City.
From www.scribd.com
Building Permit Requirement ChecklistBaguio City PDF Real Property Fencing Permit Requirements Baguio City the document outlines 22 requirements that must be met in order to obtain a building permit from the city government of baguio, including submitting proof. introducing the newest innovation of the local government unit of. It contains information about the owner, location of the. guidelines on the minimum documentary requirements for the posting of cash, surety and.. Fencing Permit Requirements Baguio City.
From www.scribd.com
Requirements For Fencing Permit PDF Fencing Permit Requirements Baguio City 1096, national building code of the philippines and its irr. the city buildings and architecture office is pilot testing the online application of business and occupancy permits to speed up the. the document outlines 22 requirements that must be met in order to obtain a building permit from the city government of baguio, including submitting proof. introducing. Fencing Permit Requirements Baguio City.
From mavink.com
Sample Fence Drawings For Permit Fencing Permit Requirements Baguio City the document outlines 22 requirements that must be met in order to obtain a building permit from the city government of baguio, including submitting proof. this document is a fencing permit application for a property located in baguio city, philippines. introducing the newest innovation of the local government unit of. city government of baguio. this. Fencing Permit Requirements Baguio City.
From cavitecity.gov.ph
Official site Of Cavite City Issuance of Fencing Permit Fencing Permit Requirements Baguio City the city buildings and architecture office is pilot testing the online application of business and occupancy permits to speed up the. introducing the newest innovation of the local government unit of. 1096, national building code of the philippines and its irr. this document outlines the checklist of requirements for securing a fencing permit from the city government. Fencing Permit Requirements Baguio City.
From www.pdffiller.com
Fillable Online FENCE PERMIT CHECKLIST Fax Email Print pdfFiller Fencing Permit Requirements Baguio City the document outlines 22 requirements that must be met in order to obtain a building permit from the city government of baguio, including submitting proof. guidelines on the minimum documentary requirements for the posting of cash, surety and. this document outlines the checklist of requirements for securing a fencing permit from the city government of baguio. . Fencing Permit Requirements Baguio City.
From dokumen.tips
(PDF) Building Permit Forms and Zoning BAGUIO CITY DOKUMEN.TIPS Fencing Permit Requirements Baguio City guidelines on the minimum documentary requirements for the posting of cash, surety and. city government of baguio. introducing the newest innovation of the local government unit of. this document is a fencing permit application for a property located in baguio city, philippines. 1096, national building code of the philippines and its irr. this document outlines. Fencing Permit Requirements Baguio City.
From www.youtube.com
HOW TO GET A FENCING PERMIT IN THE PHILIPPINES (LAPU LAPU CITY) YOU Fencing Permit Requirements Baguio City this document is a fencing permit application for a property located in baguio city, philippines. guidelines on the minimum documentary requirements for the posting of cash, surety and. city government of baguio. the city buildings and architecture office is pilot testing the online application of business and occupancy permits to speed up the. introducing the. Fencing Permit Requirements Baguio City.
From www.homedit.com
Everything You Need to Know About Fence Building Permits Fencing Permit Requirements Baguio City the city buildings and architecture office is pilot testing the online application of business and occupancy permits to speed up the. this document outlines the checklist of requirements for securing a fencing permit from the city government of baguio. city government of baguio. It contains information about the owner, location of the. this document is a. Fencing Permit Requirements Baguio City.
From www.culvercity.org
Fence Permit Application City of Culver City Fencing Permit Requirements Baguio City It contains information about the owner, location of the. introducing the newest innovation of the local government unit of. this document is a fencing permit application for a property located in baguio city, philippines. guidelines on the minimum documentary requirements for the posting of cash, surety and. this document outlines the checklist of requirements for securing. Fencing Permit Requirements Baguio City.
From www.facebook.com
WORKING PERMIT... Baguio City Public Information Office Fencing Permit Requirements Baguio City 1096, national building code of the philippines and its irr. introducing the newest innovation of the local government unit of. city government of baguio. the document outlines 22 requirements that must be met in order to obtain a building permit from the city government of baguio, including submitting proof. It contains information about the owner, location of. Fencing Permit Requirements Baguio City.
From baguiocityguide.com
How to Process Your Business Permit in Baguio City 2022 BCG Fencing Permit Requirements Baguio City introducing the newest innovation of the local government unit of. guidelines on the minimum documentary requirements for the posting of cash, surety and. this document outlines the checklist of requirements for securing a fencing permit from the city government of baguio. It contains information about the owner, location of the. the document outlines 22 requirements that. Fencing Permit Requirements Baguio City.
From www.youtube.com
Building Permit Requirements 2021 Baguio Buildpass YouTube Fencing Permit Requirements Baguio City the document outlines 22 requirements that must be met in order to obtain a building permit from the city government of baguio, including submitting proof. introducing the newest innovation of the local government unit of. the city buildings and architecture office is pilot testing the online application of business and occupancy permits to speed up the. 1096,. Fencing Permit Requirements Baguio City.